Definir o conceito de energia é um pouco difícil, mas definir um determinado tipo de energia é uma tarefa mais fácil. Vamos definir o que é energia mecânica e os seus tipos de classificação.
Sempre que tivermos um objeto em movimento ou com a possibilidade de vir a realizar um movimento teremos associada uma certa quantidade de energia. Temos dois tipos de energia: cinética e potencial. A energia mecânica é dada pela soma desses dois tipos de energia:

Energia Cinética
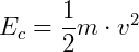
Sempre que tivermos um objeto em movimento, teremos associado a este movimento uma certa quantidade de energia que é denominada energia cinética, portanto, podemos dizer que energia cinética está associada ao movimento. Ela depende tanto da velocidade v, como também depende da massa m. A equação da energia cinética é dada por:

Energia Potencial
A energia potencial é um tipo de energia que está relacionada com a configuração do sistema, ou seja, esta relacionada com as posições do objeto. Podemos dizer também que energia potencial é a energia que pode vir a se torna energia cinética. Existem vários tipos de energia potencial, as mais conhecidas são as: gravitacional e a elástica.
A fórmula da energia potencial gravitacional é:

... e a fórmula da energia potencial elástica é:

Texto originalmente publicado em https://www.infoescola.com/fisica/energia-mecanica/