Selecionamos as questões mais relevantes da prova de vestibular Enem 2020. Confira! * Obs.: a ordem e número das questões aqui não são iguais às da prova original.
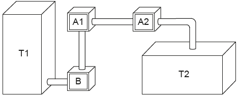
Um processo de aeração, que consiste na introdução de ar num líquido, acontece do seguinte modo: uma bomba B retira o líquido de um tanque T1 e o faz passar pelo aerador A1, que aumenta o volume do líquido em 15%, e em seguida pelo aerador A2, ganhando novo aumento de volume de 10%. Ao final, ele fica armazenado num tanque T2, de acordo com a figura.
Os tanques T1 e T2 são prismas retos de bases retangulares, sendo que a base de T1 tem comprimento c e largura L, e a base de T2 tem comprimento c/2 e largura 2L.
Para finalizar o processo de aeração sem derramamento do líquido em T2, o responsável deve saber a relação entre a altura da coluna de líquido que já saiu de T1, denotada por x, e a altura da coluna de líquido que chegou a T2, denotada por y.
Disponível em: www.dec.ufcg.edu.br. Acesso em: 21 abr. 2015.
A equação que relaciona as medidas das alturas y e x é dada por
y = 1,265x
y = 1,250x
y = 1,150x
y = 1,125x
y = x
Para chegar à universidade, um estudante utiliza um metrô e, depois, tem duas opções:
• seguir num ônibus, percorrendo 2,0 km;
• alugar uma bicicleta, ao lado da estação do metrô, seguindo 3,0 km pela ciclovia.
O quadro fornece as velocidades médias do ônibus e da bicicleta, em km/h, no trajeto metrô−universidade.
A fim de poupar tempo no deslocamento para a universidade, em quais dias o aluno deve seguir pela ciclovia?
Às segundas, quintas e sextas-feiras.
Às terças e quintas-feiras e aos sábados.
Às segundas, quartas e sextas-feiras.
Às terças, quartas e sextas-feiras.
Às terças e quartas-feiras e aos sábados.
Pesquisadores da Universidade de Tecnologia de Viena, na Áustria, produziram miniaturas de objetos em impressoras 3D de alta precisão. Ao serem ativadas, tais impressoras lançam feixes dela ser sobre um tipo de resina, esculpindo o objeto desejado. O produto final da impressão é uma escultura microscópica de três dimensões, como visto na imagem ampliada.
A escultura apresentada é uma miniatura deum carro de Fórmula 1, com 100 micrômetros de comprimento. Um micrômetro é a milionésima parte de um metro.
Usando notação científica, qual é a representação do comprimento dessa miniatura, em metro?
1,0 × 10−1
1,0 × 10−3
1,0 × 10−4
1,0 × 10−6
1,0 × 10−7
O artista gráfico holandês Maurits Cornelius Escher criou belíssimas obras nas quais as imagens se repetiam, com diferentes tamanhos, induzindo ao raciocínio de repetição infinita das imagens. Inspirado por ele, um artista fez um rascunho de uma obra na qual propunha a ideia de construção de uma sequência de infinitos quadrados, cada vez menores, uns sob os outros, conforme indicado na figura.
O quadrado PRST, com lado de medida 1, é o ponto de partida. O segundo quadrado é construído sob ele tomando-se o ponto médio da base do quadrado anterior e criando-se um novo quadrado, cujo lado corresponde à metade dessa base. Essa sequência de construção se repete recursivamente.
Qual é a medida do lado do centésimo quadrado construído de acordo com esse padrão?
O gerente de uma loja de cosméticos colocou à venda cinco diferentes tipos de perfume, tendo em estoque na loja as mesmas quantidades de cada um deles. O setor de controle de estoque encaminhou ao gerente registros gráficos descrevendo os preços unitários de cada perfume, em real, e a quantidade vendida de cada um deles, em percentual, ocorrida no mês de novembro.
Dados a chegada do final de ano e o aumento das vendas, a gerência pretende aumentar a quantidade estocada do perfume do tipo que gerou a maior arrecadação em espécie, em real, no mês de novembro.
Nessas condições, qual o tipo de perfume que deverá ter maior reposição no estoque?
I
II
III
IV
V
Três amigos, André, Bernardo e Carlos, moram em um condomínio fechado de uma cidade. O quadriculado representa a localização das ruas paralelas e perpendiculares, delimitando quadras de mesmo tamanho nesse condomínio, em que nos pontos A, B e C estão localizadas as casas de André, Bernardo e Carlos, respectivamente.
André deseja deslocar-se da sua casa até a casa de Bernardo, sem passar pela casa de Carlos, seguindo ao longo das ruas do condomínio, fazendo sempre deslocamentos para a direita ( → ) ou para cima ( ↑ ), segundo o esquema da figura.
O número de diferentes caminhos que André poderá utilizar para realizar o deslocamento nas condições propostas é
4.
14.
17.
35.
48.
Uma pessoa precisa comprar 15 sacos de cimento para uma reforma em sua casa. Faz pesquisa de preço em cinco depósitos que vendem o cimento de sua preferência e cobram frete para entrega do material, conforme a distância do depósito à sua casa. As informações sobre preço do cimento, valor do frete e distância do depósito até a casa dessa pessoa estão apresentadas no quadro.
A pessoa escolherá um desses depósitos para realizar sua compra, considerando os preços do cimento e do frete oferecidos em cada opção.
Se a pessoa decidir pela opção mais econômica, o depósito escolhido para a realização dessa compra será o
A.
B.
C.
D.
E.
Um motociclista planeja realizar uma viagem cujo destino fica a 500 km de sua casa. Sua moto consome 5 litros de gasolina para cada 100 km rodados, e o tanque da moto tem capacidade para 22 litros. Pelo mapa, observou que no trajeto da viagem o último posto disponível para reabastecimento, chamado Estrela, fica a 80 km do seu destino. Ele pretende partir com o tanque da moto cheio e planeja fazer somente duas paradas para reabastecimento, uma na ida e outra na volta, ambas no posto Estrela. No reabastecimento para a viagem de ida, deve considerar também combustível suficiente para se deslocar por 200 km no seu destino.
A quantidade mínima de combustível, em litro, que esse motociclista deve reabastecer no posto Estrela na viagem de ida, que seja suficiente para fazer o segundo reabastecimento, é
13.
18.
21.
Uma loja de materiais de construção vende dois tipos de caixas-d’água: tipo A e tipo B. Ambas têm formato cilíndrico e possuem o mesmo volume, e a altura da caixa-d’água do tipo B é igual a 25% da altura da caixa-d’água do tipo A.
Se R denota o raio da caixa-d’água do tipo A, então o raio da caixa-d’água do tipo B é
R/2
2 R
4 R
5 R
16 R
A lei municipal para a edificação de casas em lotes de uma cidade determina que sejam obedecidos os seguintes critérios:
• afastamento mínimo de 4 m da rua;
• afastamento mínimo de 1 m da divisa com outro lote;
• área total construída da casa entre 40% e 50% da área total do lote.
Um construtor submeteu para aprovação na prefeitura dessa cidade uma planta com propostas para a construção de casas em seus 5 lotes. Cada lote tem área medindo 200 m².
A imagem apresenta um esquema, sem escala, no qual estão representados os lotes, as ruas e os afastamentos considerados nos projetos entre as casas e as divisas dos lotes. As medidas indicadas no esquema estão expressas em metro.
A prefeitura aprovará apenas a planta da casa
1.
2.
3.
5.