Selecionamos as questões mais relevantes da prova de vestibular FUVEST 2017. Confira! * Obs.: a ordem e número das questões aqui não são iguais às da prova original.
Em uma aula de laboratório de física, utilizando-se o arranjo experimental esquematizado na figura, foi medido o índice de refração de um material sintético chamado poliestireno. Nessa experiência, radiação eletromagnética, proveniente de um gerador de micro-ondas, propaga-se no ar e incide perpendicularmente em um dos lados de um bloco de poliestireno, cuja seção reta é um triângulo retângulo, que tem um dos ângulos medindo 25º, conforme a figura. Um detetor de micro-ondas indica que a radiação eletromagnética sai do bloco propagando-se no ar em uma direção que forma um ângulo de 15º com a de incidência.
A partir desse resultado, conclui-se que o índice de refração do poliestireno em relação ao ar para essa micro-onda é, aproximadamente:
1,3
1,5
1,7
2,0
2,2
No início do século XX, Pierre Curie e colaboradores, em uma experiência para determinar características do recém-descoberto elemento químico rádio, colocaram uma pequena quantidade desse material em um calorímetro e verificaram que 1,30 grama de água líquida ia do ponto de congelamento ao ponto de ebulição em uma hora. A potência média liberada pelo rádio nesse período de tempo foi, aproximadamente:
0,06 W
0,10 W
0,14W
0,18 W
0,22 W
Um objeto metálico, X, eletricamente isolado, tem carga negativa 5,0 x 10–12 C. Um segundo objeto metálico, Y, neutro, mantido em contato com a Terra, é aproximado do primeiro e ocorre uma faísca entre ambos, sem que eles se toquem. A duração da faísca é 0,5 s e sua intensidade é 10-11 A. No final desse processo, as cargas elétricas totais dos objetos X e Y são, respectivamente:
zero e zero.
zero e – 5,0 x 10–12 C.
– 2,5 x 10–12 C e –2,5 x 10–12 C.
– 2,5 x 10–12 C e +2,5 x 10–12 C.
+ 5,0 x 10–12 C e zero.
Na estratosfera, há um ciclo constante de criação e destruição do ozônio. A equação que representa a destruição do ozônio pela ação da luz ultravioleta solar (UV) é
O gráfico representa a energia potencial de ligação entre um dos átomos de oxigênio que constitui a molécula de O3 e os outros dois, como função da distância de separação r.
A frequência dos fótons da luz ultravioleta que corresponde à energia de quebra de uma ligação da molécula de ozônio para formar uma molécula de O2 e um átomo de oxigênio é, aproximadamente:
1 x 1015 Hz
2 x 1015 Hz
3 x 1015 Hz
4 x 1015 Hz
5 x 1015 Hz
Dependendo do pH do solo, os nutrientes nele existentes podem sofrer transformações químicas que dificultam sua absorção pelas plantas. O quadro mostra algumas dessas transformações, em função do pH do solo.
Para que o solo possa fornecer todos os elementos citados na tabela, o seu pH deverá estar entre:
4 e 6.
4 e 8.
6 e 7.
6 e 11.
8,5 e 11.
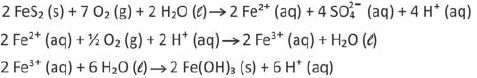
Em ambientes naturais e na presença de água e gás oxigênio, a pirita, um mineral composto principalmente por dissulfeto de ferro (FeS2), sofre processos de intemperismo, o que envolve transformações químicas que acontecem ao longo do tempo.
Um desses processos pode ser descrito pelas transformações sucessivas, representadas pelas seguintes equações químicas:
Considerando a equação química que representa a transformação global desse processo, as lacunas da frase “No intemperismo sofrido pela pirita, a razão entre as quantidades de matéria do FeS2 (s) e do O2 (g) é __________, e, durante o processo, o pH do solo __________” podem ser corretamente preenchidas por:
1/4; diminui.
1/4; não se altera.
2/15; aumenta.
4/15; diminui.
4/15; não se altera.
Um estudante realizou um experimento para avaliar a reatividade dos metais Pb, Zn e Fe. Para isso, mergulhou, em separado, uma pequena placa de cada um desses metais em cada uma das soluções aquosas dos nitratos de chumbo, de zinco e de ferro. Com suas observações, elaborou a seguinte tabela, em que (sim) significa formação de sólido sobre a placa e (não) significa nenhuma evidência dessa formação:
A seguir, montou três diferentes pilhas galvânicas, conforme esquematizado.
Nessas três montagens, o conteúdo do béquer I era uma solução aquosa de CuSO4 de mesma concentração, e essa solução era renovada na construção de cada pilha. O eletrodo onde ocorria a redução (ganho de elétrons) era o formado pela placa de cobre mergulhada em CuSO4 (aq). Em cada uma das três pilhas, o estudante utilizou, no béquer II, uma placa de um dos metais X (Pb, Zn ou Fe), mergulhada na solução aquosa de seu respectivo nitrato.
O estudante mediu a força eletromotriz das pilhas, obtendo os valores: 0,44 V; 0,75 V e 1,07 V.
A atribuição correta desses valores de força eletromotriz a cada uma das pilhas, de acordo com a reatividade dos metais testados, deve ser:
Pb: 0,44
Zn: 1,07
Fe: 0,75
Zn: 0,75
Fe: 1,07
Pb: 0,75
Zn: 0,44
Fe: 0,44
Pb: 1,07
Em uma aula experimental, dois grupos de alunos (G1 e G2) utilizaram dois procedimentos diferentes para estudar a velocidade da reação de carbonato de cálcio com excesso de ácido clorídrico. As condições de temperatura e pressão eram as mesmas nos dois procedimentos e, em cada um deles, os estudantes empregaram a mesma massa inicial de carbonato de cálcio e o mesmo volume de solução de ácido clorídrico de mesma concentração.
O grupo G1 acompanhou a transformação ao longo do tempo, realizada em um sistema aberto, determinando a variação de massa desse sistema (Figura 1 e Tabela).
O grupo G2 acompanhou essa reação ao longo do tempo, porém determinando o volume de dióxido de carbono recolhido (Figura 2).
Comparando os dois experimentos, os volumes aproximados de CO2, em litros, recolhidos pelo grupo G2 após 60, 180 e 240 segundos devem ter sido, respectivamente:
0,14; 0,20 e 0,25
0,14; 0,34 e 0,60
0,34; 0,48 e 0,60
0,34; 0,48 e 0,88
0,62; 0,88 e 1,10
Nas mesmas condições de pressão e temperatura, 50 L de gás propano (C3H8) e 250 L de ar foram colocados em um reator, ao qual foi fornecida energia apenas suficiente para iniciar a reação de combustão. Após algum tempo, não mais se observou a liberação de calor, o que indicou que a reação havia-se encerrado. Com base nessas observações experimentais, três afirmações foram feitas:
I. Se tivesse ocorrido apenas combustão incompleta, restaria propano no reator. II. Para que todo o propano reagisse, considerando a combustão completa, seriam necessários, no mínimo, 750 L de ar. III. É provável que, nessa combustão, tenha se formado fuligem.
Está correto apenas o que se afirma em:
I.
III.
I e II.
I e III.
II e III.
Para aumentar o grau de conforto do motorista e contribuir para a segurança em dias chuvosos, alguns materiais podem ser aplicados no para-brisa do veículo, formando uma película que repele a água. Nesse tratamento, ocorre uma transformação na superfície do vidro, a qual pode ser representada pela seguinte equação química não balanceada:
Das alternativas apresentadas, a que representa o melhor material a ser aplicado ao vidro, de forma a evitar o acúmulo de água, é:
ClSi(CH3)2OH
ClSi(CH3)2O(CHOH)CH2NH2
ClSi(CH3)2O(CHOH)5CH3
ClSi(CH3)2OCH2(CH2)2CO2H
ClSi(CH3)2OCH2(CH2)10CH3