Vamos relembrar o que é uma fração algébrica:
Frações algébricas são todas as frações em que variáveis aparecem no denominador ou no numerador da mesma. Elas podem aparecem em um problema onde devemos encontrar os valores dessas variáveis ou apenas para simplificar uma expressão. Vamos dar alguns exemplos do que seriam frações algébricas:




É importante lembrar que, uma fração é um número escrito na forma:

A divisão de frações algébricas é bem similar a divisão frações comuns. Para dividirmos as frações basta multiplicarmos a fração que está no numerador pelo inverso da fração que está no denominador. Veja abaixo a regra:

Ou também podemos escrever:

Se uma fração estiver sendo dividindo um número a, temos:

E se um número divide uma fração, dizemos:

Agora vamos fazer algumas divisões de frações algébricas, veja abaixo alguns exemplos:
Exemplo 1)



Exemplo 2)


A divisão de frações algébricas fica mais interessante quando podemos empregar técnicas de fatoração. Vamos por exemplo resolver este problema que consiste em determinar uma forma simplificada para a expressão:

Pela definição de divisão de frações nós podemos então reescrever esta divisão como:

O que nos daria uma multiplicação das frações da seguinte forma:

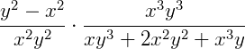
Fatorar o resultado da multiplicação dessas frações seria um pouco complicado. Mas podemos reduzir as frações antes mesmo de fazer a multiplicação. Isolando os termos separadamente em cada numerador e denominador das duas frações podemos encontrar uma forma de eliminar algumas variáveis, facilitando o cálculo. Abaixo:


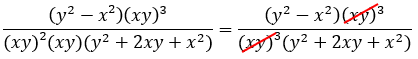
Agora podemos multiplicar as frações. Note que logo de início alguns fatores serão anulados:

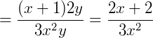
Nos restando então apenas a expressão:

Onde podemos novamente fatorar:

Logo, a divisão:

Referências Bibliográficas
GONÇALVES, Adilson. Introdução à Álgebra. Rio de Janeiro: IMPA, 1999.
MORGADO, A. C.; WAGNER, E.; JORGE, M. Álgebra I. São Paulo: Livraria Francisco Alves Editora S.A., 1974.
Texto originalmente publicado em https://www.infoescola.com/matematica/divisao-de-fracoes-algebricas/