A formulação da mecânica clássica postulada por Joseph-Louis de Lagrange relaciona a conservação de energia mecânica com a conservação do momento linear de um sistema dinâmico. É antecessora às formulações das mecânicas hamiltoniana e newtoniana, sendo assim, considerada de fundamental importância a estas.
Conteúdo deste artigo
Função Lagrangeana
A função de Lagrange pode ser definida por:

Assim, Lagrangeana (uma função de coordenadas) é igual à diferença entre as energias cinética (T) e potencial (U) de uma partícula em movimento, levando-se em consideração a taxa de variação das coordenadas generalizadas, das velocidades generalizadas da partícula e do tempo: apenas a energia potencial é unidimensional, sendo esta baseada nas coordenadas de posição da partícula.
Lagrange e o Princípio de Hamilton
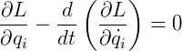
A mecânica Hamiltoniana defende que dentre os diversos caminhos que um sistema dinâmico dispõe para realizar movimento entre dois pontos, será escolhido espontaneamente àquele que torna menor a diferença entre as energias cinética e potencial. De modo que:

Desse princípio Hamiltoniano, obtêm-se as equações diferenciais parciais de segunda ordem em t de Euler-Lagrange:

Dessas equações diferenciais parciais, conclui-se que, num sistema conservativo, a diferença entre as Lagrangeanas de dois pontos consecutivos em relação ao tempo é nula. Portanto, as perdas energéticas também são.
Para um sistema não conservativo (dissipativo), vale o seguinte:

Nesse caso, a diferenças entre as Lagrangeanas é igual ao trabalho realizado pelas forças generalizadas que agem sobre a partícula a determinadas distâncias. Distâncias essas, também representadas por coordenadas n-dimensionais:

Sendo
= vetor que representa a posição da partícula, e
= coordenadas n-dimensionais da partícula.
Conservação do Momento Linear
A mecânica Lagrangeana (por possuir um sistema de coordenadas mais geral do que a mecânica newtoniana, por exemplo) consegue resolver problemas mais complexos e discrimina fenômenos que podem atingir velocidades relativísticas (velocidades muito altas) com igual precisão daqueles com velocidades mais baixas.
Considerando o espaço totalmente homogêneo e conservativo, e que as coordenadas generalizadas são apenas em função de uma dimensão espacial (representada por um único módulo do vetor posição r), tem-se que:

Sendo as perdas energéticas iguais a zero, pelas equações de Euler-Lagrange:

E, ainda, considerando o movimento linear de uma partícula igual a p, sendo este igual a:

Substituindo na segunda equação, tem-se:

Sendo assim, a quantidade de movimento de uma partícula não varia no tempo se a mesma estiver contida num espaço homogêneo e conservativo.
Fontes:
http://pt.wikipedia.org/wiki/Mecânica_lagrangeana (acesso em 01/04/2010)
http://200.145.134.134/twiki/pub/Main/DisciplinaClassica/hamilton.pdf (acesso em 01/04/2010)
Texto originalmente publicado em https://www.infoescola.com/fisica/mecanica-lagrangeana/