A definição de número misto é bem simples: é um número que possui uma parte inteira e uma fracionária, onde a fração que o compõe é sempre uma fração própria, por exemplo:
,
. No famoso filme Harry Potter, a plataforma de embarque para a escola Hogwarts é um número misto:
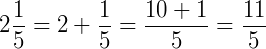
É possível transformar um número misto em uma fração imprópria e vice-versa. Para isso, basta relembrar o conceito de soma de frações. Vejamos como se faz:
De número misto para fração imprópria
Número Misto >>
<< Fração Imprópria
Número Misto >>
<< Fração Imprópria
Número Misto >>
<< Fração Imprópria
De fração imprópria para número misto
Este processo é um pouco diferente. Primeiro, fazemos a divisão inteira do numerador pelo denominador. O quociente desta divisão será o primeiro número e o resto da divisão será o novo numerador, permanecendo igual apenas o denominador. Veja os exemplos:
Se fizermos a divisão
notamos que o seu resto será 1 e o quociente será 2. Então basta agora montar o número misto:
.
A divisão
tem resto igual a 2 e quociente igual a 6. Transformando então, temos:
.
Podemos fazer uma “fórmula” que auxilie a relembrar essa transformação. Seja n o numerador e d o denominador de uma fração imprópria (onde n>d) e, supondo que a divisão inteira nos dê um quociente, que chamaremos de x, mais um resto r, temos:

Referências Bibliográficas:
PIRES, C. M. Carolino; RODRIGUES, I. Cruz. Nosso Livro de Matemática – 5º Ano. São Paulo: Zapt, 2014.
Texto originalmente publicado em https://www.infoescola.com/matematica/numeros-mistos/
