Selecionamos as questões mais relevantes da prova de vestibular URCA 2017/1. Confira! * Obs.: a ordem e número das questões aqui não são iguais às da prova original.
Sendo M1=( 6,4) , M2=(7,1) e M3=(2,0) as coordenadas dos pontos médios dos vértices de um triângulo, podemos afirmar que a área deste triângulo vale:
76 u.a.
64 u.a.
52 u.a.
46 u.a.
32 u.a.
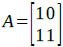
Se
então det (A) + det (A²) + det (A³) +⋯+ det (A100), onde An = A⋅A⋅A⋅⋯⋅A , vale:
1
100
1002
10050
100100
De quantas maneiras 2 alunos do curso de matemática, 3 alunos de engenharia de produção, 3 alunos de física e 2 alunos de construção civil podem se posicionar em uma fila, de modo que os alunos do mesmo curso fiquem juntos?
4541
3456
1126
576
144
O triângulo abaixo é isósceles, possui base igual a 30 e altura igual a 8 . A área da região em destaque vale?
(15/4)π
120π
(15/16)·(120−4π)
(15/16)·(128−15π)
(225/16)π
Se uma calculadora que custa R$ 100,00 hoje tiver seu preço reajustado em uma taxa composta de 2% em cada um dos próximos meses, a sequência formada por esses preços será:
Uma progressão geométrica de razão 1,02.
Uma progressão aritmética de razão 1,2.
Uma progressão geométrica de razão 0,02.
Uma progressão aritmética de razão 1,02.
Uma progressão geométrica de razão 1,2.
Uma determinada cidade sofreu um terremoto cujos efeitos foram sentidos, no máximo, até um raio de 3 Km a partir do seu epicentro. Se em um determinado sistema cartesiano, onde cada unidade linear corresponde a 1 Km , o epicentro deste terremoto estiver localizado no ponto (4,0) , então a região afetada pelo terremoto é representada por:
x2 + y2 −5x + 8 > 0
x2 + y2 −5x + 8 ≤ 0
x2 + y2 −8x + 7 ≤ 0
x2 + y2 −8x + 7 > 0
x2 + y2 −8x + 7 = 0
A prefeitura de uma cidade resolveu identificar os 100 pontos turísticos mais importantes do município colocando placas com numeração de 1 a 100 nos respectivos locais. Se ela utilizar apenas placas numeradas de 0 a 9, quantas destas placas serão necessárias para realizar tal ação?
189
190
191
192
193
A região do plano delimitada pelas retas x=0 , y=0 , a reta que passa por (−3,4) e (0,2) e a reta 5x + 6y −30 = 0 possui área igual a:
12 u.a.
18 u.a.
24 u.a.
35 u.a.
Dado o sistema
temos que a·b é igual a:
4
−4
−6
−8
O número de elétrons do cátion X+2 de um elemento X é igual ao número de elétrons do átomo neutro de um gás nobre. Esse átomo de gás nobre apresenta número atômico 10 e número de massa 20. O número atômico do elemento X é:
8
10
12
18
20