Quando estudamos função, verificamos que uma função do 1º grau é definida por uma expressão algébrica do 1º grau com duas variáveis que o seu gráfico é uma reta.
Reciprocamente, podemos dizer que uma linha reta é representada por uma equação do 1º grau com duas variáveis. Nesta unidade, estudaremos a equação segmentária da reta.
Equação segmentária da reta
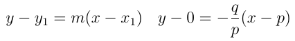
Consideremos uma reta r, tal que:
- r intercepta o eixo x no ponto A (p, 0);
- r intercepta o eixo y no ponto B (0, q).

Daí:



Dividindo ambos os membros por pq, se p ≠ 0 e q ≠ 0, temos:

Exercícios resolvidos
1º) Escrever a equação segmentária de uma reta r que passa pelos pontos A = (7, 0) e B = (0, 4).

Resolução: Temos : p = 7 e q = 4
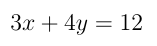
2º) Considere a equação 3x + 4y – 12 = 0 de uma reta r. Escreva a equação segmentária da reta.
Resolução:
1º passo: Vamos isolar o termo independente da equação.
![]()
2º passo: Vamos dividir todos os termos por 12.

3º) (A) Obtenha a equação segmentária da reta que passa pelos pontos A = (3, 2) e B = (-1, -6).
(B) Faça uma interpretação gráfica.
Resolução:
(A) 1º passo: Vamos calcular o coeficiente angular da reta.

2º passo: Escrever a equação fundamental desta reta.
![]()
3º passo: Para escrever a equação segmentária da reta, vamos isolar o termo independente da equação acima.
2x – y = 4
4º passo: Dividir todos os termos por 4, teremos a equação segmentária da reta.

(B) Interpretação gráfica.

4º) Escrever a equação segmentária da reta representada no gráfico abaixo.

Resolução: Temos p = 3 e q = 5
Substituindo os parâmetros p e q na equação segmentária, temos:

Leia também:
- Equações da reta
- Equação fundamental da reta
- Equação paramétrica da reta
- Equação reduzida da reta
- Equação geral da reta
Referências bibliográficas:
1. MURAKAMI, C.; IEZZI, G. Fundamentos de Matemática Elementar: Conjuntos. Funções. Vol. 1. 8ª Ed. Editora: Atual. 2004.
2. LIMA, E. L., et al. A Matemática do Ensino Médio. 9ª ed. Rio de Janeiro: SBM, 2006. v.1
3. DANTE, Luis Roberto. Matemática: contexto e aplicações. Volume único. São Paulo: Editora Ática, 2009.
Texto originalmente publicado em https://www.infoescola.com/matematica/equacao-segmentaria-da-reta/